Cómo se realiza la audiencia de inventarios y avaluos en México

En México, la audiencia de inventarios y avaluos es un proceso importante para determinar el valor de los bienes y propiedades de una persona o empresa. En este artículo, te brindaremos información detallada sobre qué es la audiencia de inventarios y avaluos, sus beneficios, los requisitos para participar, el proceso y cómo proceder en caso de desacuerdo. Sigue leyendo para estar completamente informado.
¿Qué es la audiencia de inventarios y avaluos en México?
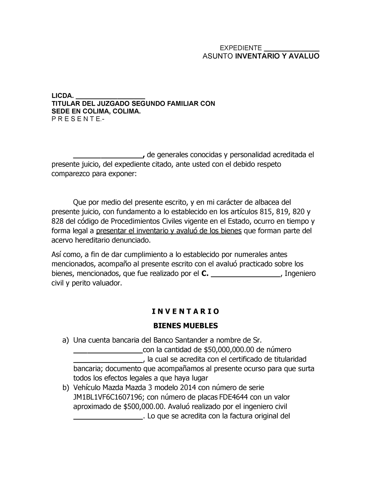
La audiencia de inventarios y avaluos es un procedimiento legal en México que tiene como objetivo principal determinar el valor y la distribución correcta de los bienes y propiedades de una persona fallecida. Esta audiencia es llevada a cabo por un juez de lo familiar y es un paso fundamental en el proceso de sucesión testamentaria.

Cuáles son los pasos clave para re...
Cómo puedo controlar eficientement...
Cuál es la interpretación de los ...Beneficios de la audiencia de inventarios y avaluos en México
- Transparencia: La audiencia garantiza que el proceso de valuación y distribución de bienes se realice de manera justa y transparente.
- Protección legal: Al participar en la audiencia, se protegen los derechos de todas las partes involucradas y se evitan conflictos futuros.
- Valoración precisa: La audiencia permite determinar el valor real de los bienes y propiedades, evitando subvaluaciones o sobrevaluaciones.
Requisitos para participar en la audiencia de inventarios y avaluos en México
Para participar en la audiencia de inventarios y avaluos en México, es necesario cumplir con los siguientes requisitos:
- Presentar una solicitud formal ante el juez de lo familiar encargado del caso.
- Proporcionar la documentación necesaria, que incluye el testamento, identificación oficial, y cualquier otro documento que demuestre la propiedad de los bienes.
- Designar a un perito valuador que pueda evaluar correctamente los bienes y propiedades.
Proceso de la audiencia de inventarios y avaluos en México
El proceso de la audiencia de inventarios y avaluos consta de los siguientes pasos:
- Solicitud formal: Se presenta una solicitud formal ante el juez de lo familiar solicitando la realización de la audiencia.

- Valuación de bienes: Se lleva a cabo la valuación de los bienes y propiedades por parte del perito valuador designado.
- Audiencia: Se programa una audiencia en la cual se presenta la valuación realizada y se discuten posibles discrepancias.
- Distribución de bienes: Una vez que se llega a un acuerdo sobre la valuación, se procede a la distribución equitativa de los bienes entre los herederos.
La audiencia de inventarios y avaluos en México es un proceso fundamental en el ámbito sucesorio, ya que garantiza una valuación justa y transparente de los bienes y propiedades. Participar en esta audiencia brinda beneficios como la protección legal y la valoración precisa de los activos. 
Recuerda cumplir con los requisitos necesarios y seguir el proceso legal establecido para asegurar un resultado satisfactorio.
Preguntas frecuentes (FAQ)
¿Cuál es la diferencia entre un inventario y un avalúo?
El inventario es un listado detallado de los bienes y propiedades de una persona fallecida, mientras que el avalúo es la valoración económica de dichos bienes y propiedades.
¿Qué documentos necesito presentar para participar en la audiencia de inventarios y avaluos?
Debes presentar el testamento, identificación oficial y cualquier otro documento que demuestre la propiedad de los bienes.
¿Cuánto tiempo tarda el proceso de la audiencia de inventarios y avaluos?
El tiempo puede variar dependiendo de la complejidad del caso, pero generalmente el proceso puede llevar varios meses.
¿Qué sucede si no estoy de acuerdo con el resultado de la audiencia de inventarios y avaluos?
En caso de desacuerdo, es posible presentar una objeción ante el juez de lo familiar y solicitar una revisión del caso.
Si quieres conocer otros artículos parecidos a Cómo se realiza la audiencia de inventarios y avaluos en México en 2026 puedes visitar la categoría Negocios.
Deja una respuesta

Entradas relacionadas